بریده فصل پنجم آموزش مبانی مهندسی برق 1

28
بریده فصل پنجم آموزش مبانی مهندسی برق 1
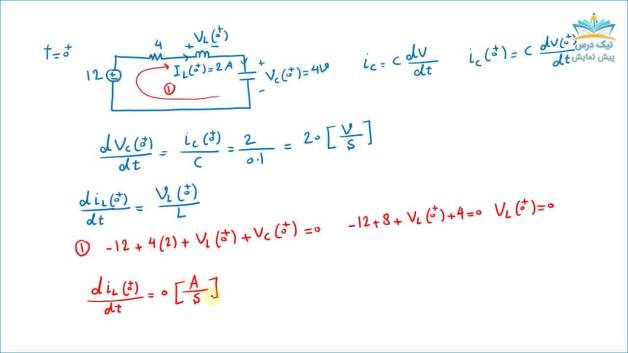
اگر در یک مدار الکتریکی دو عنصر ذخیره کننده انرژی داشته باشیم که به هیچ عنوان نتوان آن‌ها را ساده نمود به آن مدار، مدار مرتبه دوم می‌گویند. در این فصل مدار مرتبه دوم را مورد بررسی قرار خواهیم داد. مدار RLC را در شرایط ورودی صفر و حالت صفر مورد بررسی قرار خواهیم داد و معادلات مربوطه مانند ولتاژ خازن و جریان سلف را استخراج خواهیم نمود سپس پاسخ کامل را برای این مدارها را به دست خواهیم آورد.
جهت تهیه کامل آموزش می‌توانید از لینک زیر اقدام نمائید.
https://nikdars.com/?p=3217https://NikDars.com